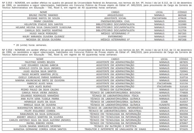
Ufam nomeia novos servidores de níveis médio e superior, veja lista
Manaus/AM - A Universidade Federal do Amazonas (Ufam) nomeou 32 candidatos aprovados nos concursos para técnico-administrativos em Educação (TAEs) referentes aos editais 044.2019 - TAE - Nv. Méd. e 045.2019 - TAE - Nv. Sup. A lista com os nomeados foi divulgada nesta segunda-feira (25) e pode ser consultada no quadro abaixo:

O Portal do Holanda foi fundado em 14 de novembro de 2005. Primeiramente com uma coluna, que
levou o
nome de seu fundador, o jornalista Raimundo de Holanda. Depois passou para Blog do Holanda e
por
último Portal do Holanda. Foi um dos primeiros sítios de internet no Estado do Amazonas. É
auditado
pelo IVC e ComScore.
ASSUNTOS: 045.2019 - TAE - Nv. Superior, 044.2019 - TAE - Nv. Médio, concurso, DOU, edital, resultado, Ufam, Amazonas