Manaus vive a ilusão do possível
O prefeito Arthur Neto não precisava ir tão longe para conhecer o funcionamento do BRT. O modelo criado em Bogotá, na Colômbia, foi copiado de um projeto brasileiro, criado há 40 anos em Curitiba.
Nada para Manaus importar, pelo simples fato de exigir espaço que a cidade não tem.
Nos dois casos - Bogotá e Curitiba - as vias são mais largas, com corredores contínuos, permitindo que veículos façam ultrapassagens.
A visita da comitiva do prefeito à Colômbia vale pela busca de experiência, mas na prática qualquer projeto do gênero em Manaus exigirá grandes mudanças na infraestrutura da cidade, construção de avenidas e ampliação das já existentes.
Fica a ilusão do possível, que o tempo se encarregará de apagar. E fica, principalmente, a impressão de que os governantes acreditam que problemas crônicos como o transporte público podem ser resolvidos com palavras.
Tanto que faltou na comitiva do prefeito representantes da iniciativa privada, com potencial para investir. Ou talvez não tenham se interessado...(RH)
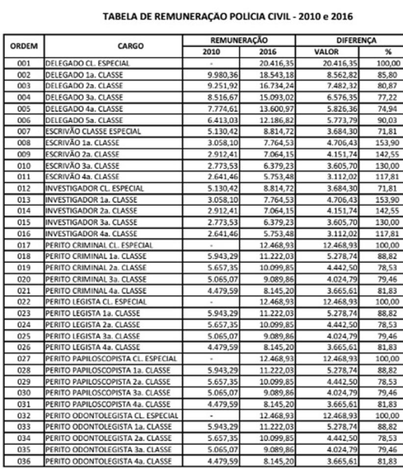
POLICIAIS DO AM SÃO OS MAIS BEM PAGOS DO BRASIL
A tabela abaixo é oficial. Os ganhos dos policiais do Amazonas são muito bons, considerando os salários pagos à mesma categoria nos demais Estados da Federação. E é reveladora que a greve anunciada é a um só tempo politica – não se sabe a quem ou quais interesses serve – e oportunista.

O momento crítico que vive a segurança pública exige desses servidores a contrapartida que a sociedade, que paga seus salários, espera.
É justo reivindicar parte de compromissos assumidos e ainda não cumpridos, mas a greve é altamente nociva e vem em momento difícil para a cidade e o Estado.
A MORTE DO MINISTRO E O RISCO DA IMPUNIDADE
O ministro Teori Zavascki saiu ontem da Operação Lava Jato de forma inusitada: morto em acidente de avião. Até morrer manteve o andamento dos processos da megaoperação no Supremo com pulso firme. Tinha em mãos delações que envolviam a nata do empresariado da construção civil e mais de duas centenas de políticos das mais altas esferas do poder no país. Neste recesso do judiciário trabalhava com o volume enorme de documentos e gravações das delações da Odebrecht. E já aguardava outra ‘pilha’ de novas delações que estão sendo negociadas com a Camargo Corrêa.
Considerado por muitos ‘linha dura’, de suas decisões nos processos que tramitam no STF poderia sair a condenação de eminentes figuras da República.
Com sua morte súbita, os processos de foro privilegiado da Lava Jato podem seguir novos rumos. Seu substituto será ‘indicado’ pelo presidente Temer; ou num ato de coragem pela ministra Cármen Lúcia.
Ontem, ao saber da morte de Zavascki, o juiz Sérgio Moro lhe conferiu o título de “herói brasileiro” e reconheceu que “Sem ele, não teria havido a Operação Lava Jato”.
EMENDAS AJUDAM POLITICOS A BUSCAR VOTOS
Obras de infraestrutura, educação e setor primário foram contemplados com 78,4 milhões, do total de R$ 108 milhões em emendas impositivas ao Orçamento estadual para 2017 aprovado em dezembro. O setor de obras bateu o recorde de valor com R$ 42,8 milhões, seguido pela educação com R$ 29 milhões e produção rural com R$ 6,6 milhões.
Do Orçamento da União virão mais R$ 492,2 milhões, das 15 emendas de deputados federais e senadores do Estado acatadas pelo relator Eduardo Braga, que ainda injetou mais de R$ 170 milhões em 13 delas.
Se alguém ainda duvida, pode anotar: as emendas impositivas irão funcionar neste ano como uma espécie de ‘financiamento público de campanha’.
FRONTEIRAS FECHADAS
Os governadores da região Norte apostam no fechamento das fronteiras para intimidar o tráfico de drogas e atingir o coração do crime organizado em seus estados.
Eles se dizem convencidos de que as fronteiras são as portas de entrada do tráfico no Brasil e que a presença do Exército será fundamental para o sucesso das operações policiais no combate às ações dos narcotraficantes na região.
Um dado que mostra a gravidade da situação é o fato de que 83% dos presos no Amazonas e 70% em Rondônia respondem por crimes vinculados ao tráfico.
“PEPINO” DE 70 MILHÕES
Chega a R$ 70 milhões o total das dívidas herdadas pelo prefeito Francisco Silva, o Chico Doido (DEM), da administração anterior em Iranduba. Ele próprio confirmou o rombo ontem à coluna.
Na última quarta-feira, o prefeito assinou um TAC (Termo de Ajustamento de Conduta) com o Ministério Público para pagar os salários atrasados de servidores referentes a dezembro passado, incluindo o 13%, e a contratação de professores para este ano.
Os “pepinos” que atormentam Chico abrangem, dentre outros absurdos, empréstimos consignados cujos valores não foram repassados à Caixa Econômica Federal.
ASSUNTOS: Arthur Neto, BRT
Raimundo de Holanda é jornalista de Manaus. Passou pelo "O Jornal", "Jornal do Commercio", "A Notícia", "O Estado do Amazonas" e outros veículos de comunicação do Amazonas. Foi correspondente substituto do "Jornal do Brasil" em meados dos anos 80. Tem formação superior em Gestão Pública. Atualmente escreve a coluna Bastidores no Portal que leva seu nome.