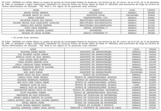
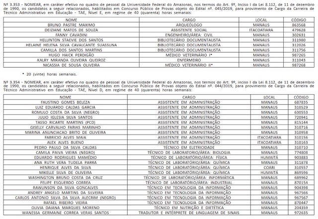
Manaus/AM - A Universidade Federal do Amazonas (Ufam) nomeou 32 candidatos aprovados nos concursos para técnico-administrativos em Educação (TAEs) referentes aos editais 044.2019 - TAE - Nv. Méd. e 045.2019 - TAE - Nv. Sup. A lista com os nomeados foi divulgada nesta segunda-feira (25) e pode ser consultada no quadro abaixo:





